تبلیغات :
آکوستیک ، فوم شانه تخم مرغی ، پنل صداگیر ، یونولیت
دانلود فیلم جدید
خرید فالوور ایرانی
خرید فالوور اینستاگرام
خرید ممبر تلگرام
خرید لپ تاپ استوک
ماهان سرور
دستگاه جوجه کشی حرفه ای
فروش آنلاین لباس کودک

[ + افزودن آگهی متنی جدید ]




مشاهده نتيجه نظر خواهي: -

راي دهنده
0. شما نمي توانيد در اين راي گيري راي بدهيد
  • -

    0 0%
  • -

    0 0%
صفحه 53 از 83 اولاول ... 34349505152535455565763 ... آخرآخر
نمايش نتايج 521 به 530 از 829

نام تاپيک: ◄◄ اتـــاق حــســاب دیــفــرانــسیــل و انــتـــگــرال ►►

  1. #521
    در آغاز فعالیت
    تاريخ عضويت
    Feb 2011
    محل سكونت
    TEHRAN
    پست ها
    19

    پيش فرض

    سلام دوستان

    کسی معادلات دیفرانسیلی سراغ داره که به روش سری ها حل شده باشه و ان سری دارای ریشه های مختلط باشه‌؟!

    ممنون میشم اگه مثالهای حل شده در این زمینه ارايه دهید.

    با تشکر از شما

  2. #522
    کاربر فعال انجمن ریاضیات hts1369's Avatar
    تاريخ عضويت
    Dec 2009
    پست ها
    1,160

    پيش فرض

    درود بر همه عزیزان
    از کجا میشه فهمید که هر کدوم از این انتگرالا با کدوم روش جز به جز یا روش تجزیه کسر میشه حل کرد

    البته جوابای اینارو دارم
    اهان یه چیزی.من جواب انتگرال دومی رو تا اینجا به دست اوردم و مرحله اخرش موندم میشه ادامه جواب رو از اونجایی که نوشتم با توضیح بگید که چه اتفاقی میفته.ممنون

    در مورد انتگرال اول احتمالا راه حل کوتاهتری هم باشه ولی به ذهن!!! من نرسید

    در مورد اینکه چطور میشه فهمید هر انتگرال رو از چه روشی باید حل کرد نمیشه با قاطعیت حرفی زد ولی با تمرین زیاد و مطالعه ی دقیق کتب مرجع حساب دیفرانسیل و انتگرال (مثله لیتهلد و توماس) میشه به تسلط نسبی رسید.
    البته من خودم خوب بلد نیستم انتگرال بگیرم.
    Last edited by hts1369; 01-01-2012 at 14:50.

  3. 4 کاربر از hts1369 بخاطر این مطلب مفید تشکر کرده اند


  4. #523
    حـــــرفـه ای davy jones's Avatar
    تاريخ عضويت
    Feb 2008
    محل سكونت
    کشتی مرد هلندی
    پست ها
    1,786

    پيش فرض

    معادلات تفکیک پذیر . لطفا به روش تغییر متغیر با توضیح حل کنید

    ممنون
    سلام. با استفاده از تغییر متغیری که داخل پرانتز رو برای ما ساده کنه به راحتی حل شد. بفرمایین:



    موفق باشین.
    90/10/11
    Last edited by davy jones; 01-01-2012 at 16:24.

  5. 2 کاربر از davy jones بخاطر این مطلب مفید تشکر کرده اند


  6. #524
    داره خودمونی میشه
    تاريخ عضويت
    Dec 2009
    پست ها
    44

    پيش فرض

    معادلات خطی مرتبه اول
    این مدل کلی معلادت خطی مرتبه اول هست

    که در این قسمت A را که انتگرال px میشه را در تک تک جملات بالا ضرب می کنیم

    که را در همه معادله اول ضرب می کنیم .


    جواب ساده شده اینجور بدست میاد .



    حالا من میخوام بدونم این جواب چجوری بدست اومد ؟ اون y کجا رفت
    میشه بصورت کامل توضیح بدید ؟
    ممنون
    Last edited by mani_irani_68; 01-01-2012 at 23:45.

  7. #525
    داره خودمونی میشه
    تاريخ عضويت
    Dec 2009
    پست ها
    44

    پيش فرض

    سلام مجدد
    ببخشید با سوالای مبتدی خودم وقت شمارو میگیرم


    جوابش میشه

    که در نهایت جوابش 1- میشه
    میشه این انتگرال با توضیح حل کنید

  8. #526
    کاربر فعال انجمن ریاضیات skyzare's Avatar
    تاريخ عضويت
    Jul 2010
    محل سكونت
    شهر علم و ادب
    پست ها
    575

    پيش فرض


    سلام مجدد

    ببخشید با سوالای مبتدی خودم وقت شمارو میگیرم


    جوابش میشه

    که در نهایت جوابش 1- میشه

    میشه این انتگرال با توضیح حل کنید

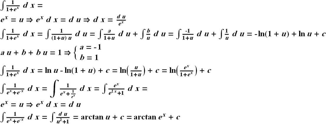
    در حالت کلی در عبارت هایی که شما توانی از e باشه اگه مشتق کنارش باشه حاصل انتگرال میشه خود عبارت e . این رو نگاه کن : ( البته با تغییر متغیر هم میشه حل کرد )




    مثلا این رو ببین :




    در این مثال بالا که مشتق این میشه که در کنار e موجود هست بنابراین حاصل

    انتکرال میشه همون که در واقع میشه


    حالا گاهی اوقات ممکنه که اون دقیقا کنار e نباشه اما قابل ساختن باشه . همون مثال بالا رو فرض کن این جوری باشه :




    خوب الان این هست که مشتقش هم میشه . در صورتی که ما اون 8 رو نداریم . میتونیم x رو داخل یه 8 ضرب کنیم و برای این که این 8 رو هم خنثی

    کنیم انتگرال رو هم داخل ضرب کنیم . یعنی این جوری بنویسیم :







    خوب الان ما با این کار مشتق u رو کنار e درست کردیم خوب که حاصل انتگرال همون عبارت توانی e میشه . یعنی :






    ================================================== =


    خوب حالا صورت سوال شما :




    الان این جا u در واقع عبارت زیر هست :








    در واقع شما یه منفی در انتگرال ضرب و تقسیم کنیم تونستید مشتقش رو کنارش درست کنید یعنی :





    جواب نهایی همین هست . بجز این که انتگرال شما معین باشه . میتونه جواب یک هم با توجه به باند ها حاصل بشه .

  9. 5 کاربر از skyzare بخاطر این مطلب مفید تشکر کرده اند


  10. #527
    حـــــرفـه ای davy jones's Avatar
    تاريخ عضويت
    Feb 2008
    محل سكونت
    کشتی مرد هلندی
    پست ها
    1,786

    پيش فرض

    سلام دوستان

    کسی معادلات دیفرانسیلی سراغ داره که به روش سری ها حل شده باشه و ان سری دارای ریشه های مختلط باشه‌؟!

    ممنون میشم اگه مثالهای حل شده در این زمینه ارايه دهید.

    با تشکر از شما
    سلام.
    در فصل آخر کتاب معادلات دیفرانسیل معمولی (تالیف دکتر بهمن مهری و دکتر داریوش شادمان) در مورد این مبحث مثالهای خوبی آورده. متاسفانه الان این کتاب دم دستم نیست ولی عکس روی جلد این کتاب اینه:



    اطلاعات بیشتر در مورد این کتاب در بانک اطلاعات خانه ی کتاب:

    [ برای مشاهده لینک ، با نام کاربری خود وارد شوید یا ثبت نام کنید ]

    ==============================

    معادلات خطی مرتبه اول
    این مدل کلی معلادت خطی مرتبه اول هست

    که در این قسمت A را که انتگرال px میشه را در تک تک جملات بالا ضرب می کنیم

    که را در همه معادله اول ضرب می کنیم .


    جواب ساده شده اینجور بدست میاد .



    حالا من میخوام بدونم این جواب چجوری بدست اومد ؟ اون y کجا رفت
    میشه بصورت کامل توضیح بدید ؟
    ممنون
    سلام.












    حلّه؟



    موفق باشین.
    90/10/12

  11. 2 کاربر از davy jones بخاطر این مطلب مفید تشکر کرده اند


  12. #528
    داره خودمونی میشه
    تاريخ عضويت
    Dec 2009
    پست ها
    44

    پيش فرض

    ممنون دوستان .
    آقا حله تشدید داره . جدا نمی دونستم


    میشه اینو برا یه مبتدی توضیح بدین . چجوری بدست اومد ؟
    واین قسمت


    _____________________________________

    معادلات خطی میشه به این روش حل کرد و دیگه سراغ اون فرمول ها نرفت ؟یکراست سراغ این فرمول بریم و جای



    و معادلات برنولی به این روش حل کرد ؟



    فقط از این روش جایگذاری حل کنیم . میشه ؟؟؟
    Last edited by mani_irani_68; 02-01-2012 at 09:41.

  13. #529
    حـــــرفـه ای davy jones's Avatar
    تاريخ عضويت
    Feb 2008
    محل سكونت
    کشتی مرد هلندی
    پست ها
    1,786

    پيش فرض

    ممنون دوستان .
    آقا حله تشدید داره . جدا نمی دونستم


    میشه اینو برا یه مبتدی توضیح بدین . چجوری بدست اومد ؟
    واین قسمت


    _____________________________________

    معادلات خطی میشه به این روش حل کرد و دیگه سراغ اون فرمول ها نرفت ؟یکراست سراغ این فرمول بریم و جای



    و معادلات برنولی به این روش حل کرد ؟



    فقط از این روش جایگذاری حل کنیم . میشه ؟؟؟
    در حقیقت در اثبات اولی از قانون مشتق زنجیره ای استفاده شده:



    برای تمرین بیشتر در مورد مشتق زنجیره ای لینک زیر رو ببینین:

    [ برای مشاهده لینک ، با نام کاربری خود وارد شوید یا ثبت نام کنید ]

    و اما در مورد دومی از قائده مشتق حاصل ضرب کمک گرفتیم. وقتی دو تابع در هم ضرب شده باشند و بخواهیم مشتق بگیریم داریم:



    حالا به جای f تابع y رو جاگذاری کنید و به جای g تابع رو قرار بدید:



    برای مطالعه ی بیشتر در مورد قائده ی مشتق حاصلضرب به لینکهای زیر دقت کنید:

    [ برای مشاهده لینک ، با نام کاربری خود وارد شوید یا ثبت نام کنید ]
    [ برای مشاهده لینک ، با نام کاربری خود وارد شوید یا ثبت نام کنید ]

    ـــــــــــــــــــــــــ ـــــــــــــــــــــــــ ــــــــــــــــــــــــ

    معادلات خطی مرتبه اول رو میتونین یه ضرب از همین فرمول جاگذاری و حل کنین. در مورد معادلات برنولی هم درسته و میشه. توضیحات و اثبات بیشتر در مورد معادلات برنولی و همین فرمولی که نوشتین رو هم از لینک زیر ببینین:

    [ برای مشاهده لینک ، با نام کاربری خود وارد شوید یا ثبت نام کنید ]



    موفق باشین.
    90/10/12

  14. 3 کاربر از davy jones بخاطر این مطلب مفید تشکر کرده اند


  15. #530
    اگه نباشه جاش خالی می مونه zr1's Avatar
    تاريخ عضويت
    Jul 2009
    محل سكونت
    اردبیل-لاهیجان-لنگرود
    پست ها
    233

    پيش فرض

    والا من بازم تو سوالی که پرسیدم موندم.ترو به خدا یکی کمکم کنه.چطور میشه فهمید اون تیپ انتگرالارو باید با جز به جز رفت یا تجزیه کسر؟و یا یه نشون یا چیزی داره بشه فهمید از کودوم راه باید رفت؟ اینکه جواب دومی رو تا اونجا که نوشتم به دست اوردم و قسمت اخرش که علامت سوال گذاشتم موندم چطوری به دست میاد(یه توضیحی راجب این بدین)؟ممنون میشم

Thread Information

Users Browsing this Thread

هم اکنون 1 کاربر در حال مشاهده این تاپیک میباشد. (0 کاربر عضو شده و 1 مهمان)

User Tag List

قوانين ايجاد تاپيک در انجمن

  • شما نمی توانید تاپیک ایحاد کنید
  • شما نمی توانید پاسخی ارسال کنید
  • شما نمی توانید فایل پیوست کنید
  • شما نمی توانید پاسخ خود را ویرایش کنید
  •