تبلیغات :
خرید لپ تاپ استوک
آکوستیک ، فوم شانه تخم مرغی ، پنل صداگیر ، یونولیت
دانلود فیلم جدید
خرید فالوور ایرانی
خرید فالوور اینستاگرام
خرید ممبر تلگرام
ماهان سرور
دستگاه جوجه کشی حرفه ای
فروش آنلاین لباس کودک

[ + افزودن آگهی متنی جدید ]




صفحه 387 از 492 اولاول ... 287337377383384385386387388389390391397437487 ... آخرآخر
نمايش نتايج 3,861 به 3,870 از 4911

نام تاپيک: اتاق ریاضیات(طرح سؤالات)

  1. #3861
    کاربر فعال انجمن ریاضیات hts1369's Avatar
    تاريخ عضويت
    Dec 2009
    پست ها
    1,160

    پيش فرض

    اقا حمید ( و یا بقیه ی اساتید) میخواستم بدونم ایراد روش حل من کجاست که به جواب شما نمیرسم.



  2. این کاربر از hts1369 بخاطر این مطلب مفید تشکر کرده است


  3. #3862
    پروفشنال Bobby Sands's Avatar
    تاريخ عضويت
    Jul 2010
    پست ها
    848

    پيش فرض

    دوستان يك سوال در مورد حل دو معادله داشتم . اگر ممكنه من رو راهنمايي كنين ممنون ميشم.
    طبق عكس زير ما دوتا معادله داريم كه هر كدوم داراي مقاديري پارامتر هستن . پارامترهايي كه با عدد از 1 تا 6 مشخص كردم رو ما مقدارشون رو داريم . فقط ميمونه ARx و D . اما مشكل من اينجاست كه اين دو تو معادله هاشون به همديگه و به خودشون رفرنس دارن. اين جور معادله ها رو چطوري ميشه حل كرد؟
    آيا روش يا نرم افزار خاصي براي اين كار هست؟ لطفا اگر ممكنه راهنماييم كنين خيلي كارم گير اين قضيه است.



  4. #3863
    آخر فروم باز SuperSt@r's Avatar
    تاريخ عضويت
    Aug 2011
    محل سكونت
    نيوكمپ
    پست ها
    1,268

    پيش فرض

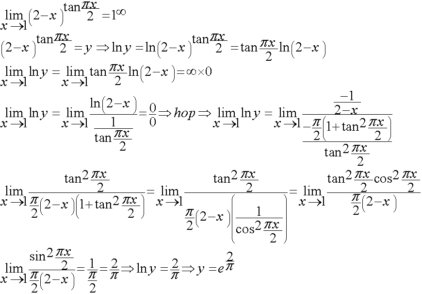
    اقا حمید ( و یا بقیه ی اساتید) میخواستم بدونم ایراد روش حل من کجاست که به جواب شما نمیرسم.


    سلام دوست عزيز
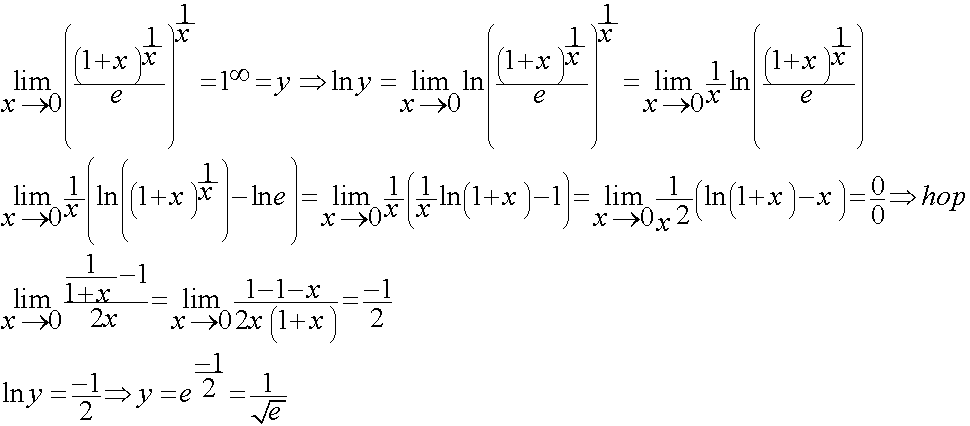
    همونطور كه قبلا هم ازت پرسيده بودم سوال اول يا همون قسمت ج فك ميكنم دوباره اخرش 0/0 ميشه نه خود عدد 0 پس اين نميتونه جواب باشه
    سوال دوم(قسمت ط ) رو هم من e بدست اوردم بايد يه بار ديگه حلش كنم ببينم چي ميشه
    قسمت ي(سوال سومي كه شما نوشتي) رو هم من مثه شما حلش كردم و جواب نهايي هم همونيه كه شما بدست اوردي يعني e^2/p و اين سوال منم هس كه چرا اين جواب نادرسته؟ يا شايدم درست باشه

  5. این کاربر از SuperSt@r بخاطر این مطلب مفید تشکر کرده است


  6. #3864
    کاربر فعال انجمن ریاضیات hts1369's Avatar
    تاريخ عضويت
    Dec 2009
    پست ها
    1,160

    پيش فرض

    سلام دوست عزيز
    همونطور كه قبلا هم ازت پرسيده بودم سوال اول يا همون قسمت ج فك ميكنم دوباره اخرش 0/0 ميشه نه خود عدد 0 پس اين نميتونه جواب باشه
    سوال دوم(قسمت ط ) رو هم من e بدست اوردم بايد يه بار ديگه حلش كنم ببينم چي ميشه
    قسمت ي(سوال سومي كه شما نوشتي) رو هم من مثه شما حلش كردم و جواب نهايي هم همونيه كه شما بدست اوردي يعني e^2/p و اين سوال منم هس كه چرا اين جواب نادرسته؟ يا شايدم درست باشه
    سلام داش
    خیلی چاکرم.
    نه داش کسینوس صفر که یک میشه و جواب صورت هم که صفر پس کل کسر میشه صفر
    دومی رو هم من چند بار حا کردم و به این جواب رسیدم
    کلا برام عجیبه که چرا جواب ما درست نیست.
    متاسفانه برنامه های ریاضی مثله mathmatica رو گم کردم و رو سیستم هم نصب ندارم و نمیتونم از صحب جوابها اطمینان حاصل کنم.(چی گفتم)

  7. این کاربر از hts1369 بخاطر این مطلب مفید تشکر کرده است


  8. #3865
    کاربر فعال انجمن فوتبال خارجی M E S S I's Avatar
    تاريخ عضويت
    Sep 2011
    پست ها
    2,430

    پيش فرض

    کسی نمی خواد جوابی بده تا حداقل دلم خوش بشه؟؟
    کد:
    برای مشاهده محتوا ، لطفا وارد شوید یا ثبت نام کنید
    میدونم زیاده حداقل 2-3 تاشو نمیتونید بگید...
    Last edited by M E S S I; 03-12-2011 at 15:14.

  9. این کاربر از M E S S I بخاطر این مطلب مفید تشکر کرده است


  10. #3866
    آخر فروم باز SuperSt@r's Avatar
    تاريخ عضويت
    Aug 2011
    محل سكونت
    نيوكمپ
    پست ها
    1,268

    پيش فرض

    سلام حالا چنتا سوال اين مدلي ديگه هم هست كه يكي ديگش رو اينجا ميذارم تا يكي يكي روش فك كنيم كه بتونيم بهتر نتيجه گيري كنيم
    اگه ميشه حلش كنيد


    اين 3 به توان sin x هستش

  11. #3867
    آخر فروم باز SuperSt@r's Avatar
    تاريخ عضويت
    Aug 2011
    محل سكونت
    نيوكمپ
    پست ها
    1,268

    پيش فرض

    کسی نمی خواد جوابی بده تا حداقل دلم خوش بشه؟؟
    کد:
    برای مشاهده محتوا ، لطفا وارد شوید یا ثبت نام کنید

    دوست عزيزم تو اين صفحه سوالي از شما رو من نميبينم مطمئني آدرس رو درست وارد كردي

  12. این کاربر از SuperSt@r بخاطر این مطلب مفید تشکر کرده است


  13. #3868
    کاربر فعال انجمن فوتبال خارجی M E S S I's Avatar
    تاريخ عضويت
    Sep 2011
    پست ها
    2,430

    پيش فرض

    دوست عزيزم تو اين صفحه سوالي از شما رو من نميبينم مطمئني آدرس رو درست وارد كردي
    ببخشید درست شد.

  14. #3869
    کاربر فعال انجمن ریاضیات skyzare's Avatar
    تاريخ عضويت
    Jul 2010
    محل سكونت
    شهر علم و ادب
    پست ها
    575

    پيش فرض

    سلام به دوستان عزیز چند تا سوال از مشتق داشتم:
    کسی میتونه مشتق اینا رو بگیره و جواب بده؟
    با سلام ...

    همه این ها رو میتونی یا ذهنی یا از قاعده ذنجیره ای حل کنی . من حالا از قاعده زنجیره ای برات حل میکنم . قعلا یکی اش رو برات حل میکنم تا بقیه اش .






    حالا به جای t معادلش رو میزاریم .



    حالا صورت و مخرج رو داخل یه 9 ضرب میکنیم :




  15. این کاربر از skyzare بخاطر این مطلب مفید تشکر کرده است


  16. #3870
    کاربر فعال انجمن ریاضیات skyzare's Avatar
    تاريخ عضويت
    Jul 2010
    محل سكونت
    شهر علم و ادب
    پست ها
    575

    پيش فرض





















  17. این کاربر از skyzare بخاطر این مطلب مفید تشکر کرده است


Thread Information

Users Browsing this Thread

هم اکنون 1 کاربر در حال مشاهده این تاپیک میباشد. (0 کاربر عضو شده و 1 مهمان)

User Tag List

قوانين ايجاد تاپيک در انجمن

  • شما نمی توانید تاپیک ایحاد کنید
  • شما نمی توانید پاسخی ارسال کنید
  • شما نمی توانید فایل پیوست کنید
  • شما نمی توانید پاسخ خود را ویرایش کنید
  •