تبلیغات :
دانلود فیلم جدید
خرید فالوور ایرانی
خرید فالوور اینستاگرام
خرید ممبر تلگرام
خرید لپ تاپ استوک
ماهان سرور
آکوستیک ، فوم شانه تخم مرغی ، پنل صداگیر ، یونولیت
دستگاه جوجه کشی حرفه ای
فروش آنلاین لباس کودک

[ + افزودن آگهی متنی جدید ]




صفحه 376 از 492 اولاول ... 276326366372373374375376377378379380386426476 ... آخرآخر
نمايش نتايج 3,751 به 3,760 از 4911

نام تاپيک: اتاق ریاضیات(طرح سؤالات)

  1. #3751
    داره خودمونی میشه hamed6672's Avatar
    تاريخ عضويت
    Mar 2010
    محل سكونت
    تهران
    پست ها
    61

    پيش فرض

    اگه در سوال شما y به سمت صفر میل کنه جواب میشه صفر. برای حل سوال شما ابتدا اگه y رو میل بدیم به سمت a هیچ اتفاقی نمیفته و حد به همون سوال استاندارد تبدیل میشه. در واقع دو تا حد که یکیش هم هیچ ابهامی نداره رو در هم ادغام کرده تو سوال.

    موفق باشین.
    90/8/29
    با سلام ...

    پاسخ حد e^a است و تو کتابتون هم درست نوشته .

    ولی روش حدش مثل بقیه نیست ، چون این یک تابع ضمنی نیست و بلکه یه تابع دو متغیره است که اصلا روش حدگیری متفاوتی داره.

    ولی با هم ارزی به راحتی حل میشه . وقتی x به سمت بینهایت و y به سمت a میل میکنه ln1+y/x که در حدگیری به وجود آمده بود با y/x هم ارز است و این خیلی واضحه . و به همین راحتی x که توان عبارت و ضریب ln است در y/x ضرب میشه و حاصل y میشه و جواب نهایی e^y میشه که چون y به a میل میکنه جواب e^a میشه.
    و همون طور که گفتم چون این تابع ، یک تابعی مثل z میمونه که دو متغیر x و y داره نمیشه باهاش مثل توابع ضمنی برخورد کرد و مشتق y را 'y نوشت.

    با روش های حد گیری این توابع در ریاضی 2 مهندسی آشنا میشین .

    امیدوارم واضح گفته باشم.
    Last edited by hamed6672; 20-11-2011 at 11:12.

  2. این کاربر از hamed6672 بخاطر این مطلب مفید تشکر کرده است


  3. #3752
    کاربر فعال انجمن ریاضیات hts1369's Avatar
    تاريخ عضويت
    Dec 2009
    پست ها
    1,160

    پيش فرض

    با سلام ...

    پاسخ حد e^a است و تو کتابتون هم درست نوشته .

    ولی روش حدش مثل بقیه نیست ، چون این یک تابع ضمنی نیست و بلکه یه تابع دو متغیره است که اصلا روش حدگیری متفاوتی داره.

    ولی با هم ارزی به راحتی حل میشه . وقتی x به سمت بینهایت و y به سمت a میل میکنه ln1+y/x که در حدگیری به وجود آمده بود با y/x هم ارز است و این خیلی واضحه . و به همین راحتی x که توان عبارت و ضریب ln است در y/x ضرب میشه و حاصل y میشه و جواب نهایی e^y میشه که چون y به a میل میکنه جواب e^a میشه.
    و همون طور که گفتم چون این تابع ، یک تابعی مثل z میمونه که دو متغیر x و y داره نمیشه باهاش مثل توابع ضمنی برخورد کرد و مشتق y را 'y نوشت.

    با روش های حد گیری این توابع در ریاضی 2 مهندسی آشنا میشین .

    امیدوارم واضح گفته باشم.
    ممنون اتفاقا من این حد رو تو کتابی که برای ریاضی 2 مهندسی به ما معرفی کردن دیدم

  4. #3753
    کاربر فعال انجمن ریاضیات skyzare's Avatar
    تاريخ عضويت
    Jul 2010
    محل سكونت
    شهر علم و ادب
    پست ها
    575

    14 سوالاتی پیرامون مثلثات

    با سلام ....

    من یه چند تا سوال پیرامون مثلثات داشتم :

    1-


    2-اگر x و y دو زاویه نامساوی در فاصله 0 تا پی باشد و عبارت زیر را داشته باشیم اندازه x+y چه قدر است ؟




    3-اگر a+b=pi/4 باشد حاصل عبارت زیر چیست ؟



    با تشکر ...

  5. #3754
    کاربر فعال انجمن ریاضیات hts1369's Avatar
    تاريخ عضويت
    Dec 2009
    پست ها
    1,160

    پيش فرض

    با سلام ....

    من یه چند تا سوال پیرامون مثلثات داشتم :

    1-


    2-اگر x و y دو زاویه نامساوی در فاصله 0 تا پی باشد و عبارت زیر را داشته باشیم اندازه x+y چه قدر است ؟




    3-اگر a+b=pi/4 باشد حاصل عبارت زیر چیست ؟



    با تشکر ...
    فکر کنم سوال اولت رو اشتباه تاپیپ کرده باشی
    سوال سومت هم یه رابطه ی کلی هست که همیشه برابر با 2 هست

  6. 2 کاربر از hts1369 بخاطر این مطلب مفید تشکر کرده اند


  7. #3755
    کاربر فعال انجمن ریاضیات skyzare's Avatar
    تاريخ عضويت
    Jul 2010
    محل سكونت
    شهر علم و ادب
    پست ها
    575

    پيش فرض

    فکر کنم سوال اولت رو اشتباه تاپیپ کرده باشی
    با سلام ...

    با تشکر از پاسختون ....

    بله دومی tan(a+b)=2/5 هست

  8. #3756
    حـــــرفـه ای davy jones's Avatar
    تاريخ عضويت
    Feb 2008
    محل سكونت
    کشتی مرد هلندی
    پست ها
    1,786

    پيش فرض

    با سلام ....

    من یه چند تا سوال پیرامون مثلثات داشتم :

    1-


    2-اگر x و y دو زاویه نامساوی در فاصله 0 تا پی باشد و عبارت زیر را داشته باشیم اندازه x+y چه قدر است ؟




    3-اگر a+b=pi/4 باشد حاصل عبارت زیر چیست ؟



    با تشکر ...
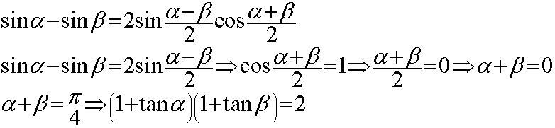
    سلام.

    سوال اول:





    دیگه کافیه که دستگاه دو معادله و دو مجهول رو خودتون حل کنید

    =========

    سوال دوم:

    طبق رابطه ی تبدیل ضرب به جمع در سینوسها داریم:


    بنابراین:









    و این یعنی اینکه این معادله در بازه صفر تا پی جواب نداره.

    ============

    سوال سوم:

    طبق فرمول تانژانت حاصل جمع (که خود همین هم قابل اثبات هست) داریم:


    در نتیجه:




    موفق باشین.
    90/8/29
    Last edited by davy jones; 20-11-2011 at 14:02.

  9. 2 کاربر از davy jones بخاطر این مطلب مفید تشکر کرده اند


  10. #3757
    داره خودمونی میشه hamed6672's Avatar
    تاريخ عضويت
    Mar 2010
    محل سكونت
    تهران
    پست ها
    61

    پيش فرض

    با سلام ....

    من یه چند تا سوال پیرامون مثلثات داشتم :

    1-




  11. 2 کاربر از hamed6672 بخاطر این مطلب مفید تشکر کرده اند


  12. #3758
    آخر فروم باز SuperSt@r's Avatar
    تاريخ عضويت
    Aug 2011
    محل سكونت
    نيوكمپ
    پست ها
    1,268

    پيش فرض

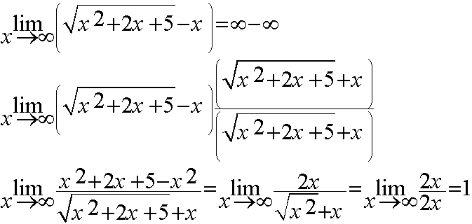
    حلش رو برات گذاشتم
    اولش بینهایت در صفر رو به صفر بر صفر تبدیل میکنیم و بعدش از hop استفاده میکنیم

    این یکی رو هم بعنوان تمرین خودت حل کن (مثله قبلی هست)

    ممنون به خاطر جوابت(البته من اون موقع جوابتون رو ديده بودم) برا اين اين پست رو زدم كه بگم يه راه حل ديگه هم هست كه اونم استفاده از قضيه مقدار ميانگين هس

  13. #3759
    آخر فروم باز hamed malekpour's Avatar
    تاريخ عضويت
    Jan 2008
    محل سكونت
    ....
    پست ها
    2,676

    پيش فرض

    می تونید این سوال ساده را حل کنید

  14. #3760
    کاربر فعال انجمن ریاضیات hts1369's Avatar
    تاريخ عضويت
    Dec 2009
    پست ها
    1,160

    پيش فرض

    می تونید این سوال ساده را حل کنید
    امیدوارم قواعد حدهایی که به سمت بینهایت میل میکنند رو بدونید

  15. 3 کاربر از hts1369 بخاطر این مطلب مفید تشکر کرده اند


Thread Information

Users Browsing this Thread

هم اکنون 1 کاربر در حال مشاهده این تاپیک میباشد. (0 کاربر عضو شده و 1 مهمان)

User Tag List

قوانين ايجاد تاپيک در انجمن

  • شما نمی توانید تاپیک ایحاد کنید
  • شما نمی توانید پاسخی ارسال کنید
  • شما نمی توانید فایل پیوست کنید
  • شما نمی توانید پاسخ خود را ویرایش کنید
  •