تبلیغات :
خرید فالوور ایرانی
خرید فالوور اینستاگرام
خرید ممبر تلگرام
خرید لپ تاپ استوک
ماهان سرور
آکوستیک ، فوم شانه تخم مرغی ، پنل صداگیر ، یونولیت
دستگاه جوجه کشی حرفه ای
فروش آنلاین لباس کودک

[ + افزودن آگهی متنی جدید ]




صفحه 2 از 2 اولاول 12
نمايش نتايج 11 به 19 از 19

نام تاپيک: تعریف مشتق

  1. #11
    داره خودمونی میشه
    تاريخ عضويت
    Nov 2011
    محل سكونت
    تهران
    پست ها
    25

    پيش فرض

    سلام ، عکس رو در یه سایت که مخصوص آپلود هست باید آپلود کنی دیگه . مثل این:

    کد:
    برای مشاهده محتوا ، لطفا وارد شوید یا ثبت نام کنید
    دوست خوب آپلود کردم.

  2. #12
    داره خودمونی میشه
    تاريخ عضويت
    Nov 2011
    محل سكونت
    تهران
    پست ها
    25

    پيش فرض

    با سلام ...

    متاسفانه نرم افزار متلب رو به علت تعویض ویندوز روی سیستمم فعلا ندارم .

    برای قرار دادن عکس هم فکر نکنم کاربرهای عادی بتونند عکس رو توی سایت آپلود کنند شما بهتره عکس رو یه جایی آپلود کنید مثلا توی این سایت

    کد:
    برای مشاهده محتوا ، لطفا وارد شوید یا ثبت نام کنید

    بعدش ادرسش رو داخل تگ img قرار بدید در واقع همون گزینه وارد نمودن عکس که قرار بدید .
    سلام ممنون آپلود کردن.
    منتظر جوابت هستم.

    ---------- Post added at 11:36 AM ---------- Previous post was at 11:33 AM ----------

    آپلود کردن دیدین ؟

  3. #13
    در آغاز فعالیت
    تاريخ عضويت
    Feb 2012
    پست ها
    2

    1



    ---------- Post added at 11:34 PM ---------- Previous post was at 11:33 PM ----------

    مرسی که راهنمایی کردین.

    ---------- Post added at 11:35 PM ---------- Previous post was at 11:34 PM ----------

    اگه میشه راهنمایی کنید و کاربرد هایی مشتق رو روی این دو منحنی برام مشخص کنید.


    مشتق تابع درجه3 تابع درجه دو میباشد که اگر تابع درجه دو را با تابع درجه 3 مساوی قرار بدهی ،یک معادله درجه3 مساوی 3 بدست میآید که طبق قضیه اساسی جبر 3جواب دارد و بنا به نمودار در 3 نقطه برخورد داریم که صدق میکند و همچنین بنا به قضیه مقدار میانی ( f(x (معادله درجه3)در بازه باز صفر تا منفی یک دارای ریشه است که این نیز یکی از نتایج کاربرد مشتق است که از نمودار به وضوح دریافت میشود و...
    همچنین دوست عزیز مشتق تابع شیب خط قاطع بین دو نقطه است نه خود خط.یعنی به وسیله مشتق شیب نمودار مشتق صعودی ،نزولی و... را میتوان بدست آورد نه خود نمودار .خط مماس لزوما" خود نمودار نیست
    Last edited by g.b; 14-02-2012 at 23:23.

  4. #14
    اگه نباشه جاش خالی می مونه ali_kasper's Avatar
    تاريخ عضويت
    Mar 2010
    پست ها
    318

    پيش فرض

    از دوستان میشه کسی برای من نشون بده چرا n به توان 0 میشه 1 ؟

  5. #15
    اگه نباشه جاش خالی می مونه
    تاريخ عضويت
    Oct 2011
    پست ها
    272

    پيش فرض

    از دوستان میشه کسی برای من نشون بده چرا n به توان 0 میشه 1 ؟
    منم نمیدونستم سرچ کردم پیدا کردم
    خیلی سادست
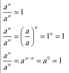
    n^0=n^m ÷ n^m = (n / n)^m = 1

  6. 2 کاربر از pinokiu بخاطر این مطلب مفید تشکر کرده اند


  7. #16
    کاربر فعال انجمن ریاضیات hts1369's Avatar
    تاريخ عضويت
    Dec 2009
    پست ها
    1,160

    پيش فرض

    جای درستی سوالتون رو نپرسیدید (باید تو اتاق ریاضیات بپرسید)

    میدونیم که خط اول و دوم برابر با یک هست پس خط سوم هم مقدارش یک هست.
    البته شاید این اثبات نباشه ولی یه جورایی توجیه میکنه این مساله رو.

  8. 4 کاربر از hts1369 بخاطر این مطلب مفید تشکر کرده اند


  9. #17
    اگه نباشه جاش خالی می مونه ali_kasper's Avatar
    تاريخ عضويت
    Mar 2010
    پست ها
    318

    پيش فرض

    مرسی از دوستان که پاسخ دادن!

    نمیدونم اینجا جاش هست این مساله رو ادامه بدیم یا نه ولی من دنبال این اثبات نبودم،چون نمیشه با این ثابت کرد که n به توان 0 میشه 1

    بذارید راهنماییتون کنم که دوستان بهتر بتونن کمکم کنند

    ما در تعریف توان داریم:a به توان n میشه n تا a که عمل بینشون ضربه

    حالا چجوری میشه ثابت کرد یا فهموند که صفر تا a که عمل بینشون ضربه جواب میشه 1

    ممنون(بازم معذرت از درست نبودن جایگاه سوال در این تاپیک)

  10. این کاربر از ali_kasper بخاطر این مطلب مفید تشکر کرده است


  11. #18
    اگه نباشه جاش خالی می مونه
    تاريخ عضويت
    Oct 2011
    پست ها
    272

    پيش فرض

    مرسی از دوستان که پاسخ دادن!

    نمیدونم اینجا جاش هست این مساله رو ادامه بدیم یا نه ولی من دنبال این اثبات نبودم،چون نمیشه با این ثابت کرد که n به توان 0 میشه 1

    بذارید راهنماییتون کنم که دوستان بهتر بتونن کمکم کنند

    ما در تعریف توان داریم:a به توان n میشه n تا a که عمل بینشون ضربه

    حالا چجوری میشه ثابت کرد یا فهموند که صفر تا a که عمل بینشون ضربه جواب میشه 1

    ممنون(بازم معذرت از درست نبودن جایگاه سوال در این تاپیک)
    والا من یه مقدار گشتم اما چیزی پیدا نکردم
    کسی تو این زمینه تخصص نداره؟

  12. #19
    اگه نباشه جاش خالی می مونه ali_kasper's Avatar
    تاريخ عضويت
    Mar 2010
    پست ها
    318

    پيش فرض

    والا من یه مقدار گشتم اما چیزی پیدا نکردم
    کسی تو این زمینه تخصص نداره؟
    ممنون دوست عزیز!من این سوال رو در تاپیک اتاق ریاضی مطرح کردم و دوستان هم لطف کردند و جواب دادند.

    لطفا این بحث رو ادامه ندید

صفحه 2 از 2 اولاول 12

Thread Information

Users Browsing this Thread

هم اکنون 1 کاربر در حال مشاهده این تاپیک میباشد. (0 کاربر عضو شده و 1 مهمان)

User Tag List

قوانين ايجاد تاپيک در انجمن

  • شما نمی توانید تاپیک ایحاد کنید
  • شما نمی توانید پاسخی ارسال کنید
  • شما نمی توانید فایل پیوست کنید
  • شما نمی توانید پاسخ خود را ویرایش کنید
  •